Knapsack - 제한 용량에 최대 가치 채우기
Knapsack 문제 일반화
10kg 배낭에 넣을 수 있는 물건이 4개가 있고 각 물건의 무게와 가치는 다음과 같다.
- 무게 : 5, 4, 6, 3
- 가치 : 10, 40, 30, 50
여기서 각 물건은 넣거나 넣지 않을 수 있다.
최대 가치를 구해야 하므로 가장 작은 문제 부터 최대 가치를 만들어서 10kg 문제까지 해결해보자
여기서 가장 작은 문제는 1kg 배낭에 채울 수 있는 최대 가치라고 정의하자.
1. (5, 10) 의 물건
1 ~ 4kg 배낭엔 채울 수 없으므로 가치는 0
5kg 배낭으로 가치는 10
2. (5,10) (4,40) 의 물건
1 ~ 3kg 배낭엔 채울 수 없으므로 가치는 0
4 ~ 8kg 배낭엔 (4, 40)을 채울 수 있으므로 가치는 40
9 ~ 10kg 배낭엔 (4, 40), (5, 10) 추가할 수 있으므로 가치는 50
표를 그려 보면

...
나머지도 채워보면

표를 통해 각 셀은 wkg 배낭에 채울 수 있는 최대 가치를 의미하는 것을 알 수 있다.
각 셀의 규칙성을 파악해보기 위해 K열 3행에 주목해보자

4kg 물건을 넣기전 가방의 무게와 가치를 체크한다.
이제 물건을 넣을지 말지 판단하는데 판단 기준은 제한 용량이다.
현재 9kg 배낭이므로 4kg 물건을 넣을 수 있고 넣기 전 가방의 최대 가치는 G열 3행이다. (넣기 전 가방의 최대 가치를 알아 내는게 핵심이다.)
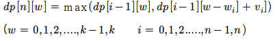
규칙성을 통해 물건을 넣을 수 있는 경우, 없는 경우를 나눠 다음과 같은 점화식을 만들 수 있다.
제한 용량 = w
현재 배낭의 무게 = k
물건의 개수 = n
각 물건 번호(인덱스) = i
각 물건의 무게 = wi
각 물건의 가치 = vi
넣을 수 있는 경우

넣을 수 없는 경우
